Brilio
×
Sign In

Hello There

Sign In to Brilio

Welcome to our Community Page, a place where you can create and share your content with rest of the world

  Connect with Google
  1. BRILIO.NET
  2. »
  3. FOTO
  4. »
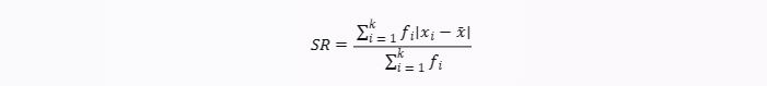
  5. Rumus simpangan rata-rata, beserta pengertian dan contoh soalnya

Rumus simpangan rata-rata, beserta pengertian dan contoh soalnya

Rumus simpangan rata-rata, beserta pengertian dan contoh soalnya
Rumus simpangan rata-rata © 2023 brilio.net
4 dari 4